Автор: Денис Аветисян
В статье представлена модель кандидата в частицы тёмной материи, взаимодействующей с нейтрино, в рамках расширенной U(1)B-L+xY симметрии.

Исследуется модель слабо взаимодействующей массивной частицы (WIMP) с преобладающим взаимодействием с нейтрино, способная объяснить наблюдаемую реликвию тёмной материи и разрешить проблемы малых масштабов структуры Вселенной.
Наблюдения космологических данных накладывают жесткие ограничения на модели темной материи, особенно в области суб-ГэВ масс. В данной работе, посвященной исследованию ‘Light neutrinophilic WIMP in the $U(1)_{\rm B-L+xY}$ model’, предложена конкретная реализация легкой нейтральной слабо взаимодействующей массивной частицы (WIMP) в рамках расширенной калибровочной симметрии U(1)B-L+xY, где преобладают взаимодействия с нейтрино. Показано, что предложенная модель способна воспроизвести наблюдаемую реликвию темной материи, одновременно избегая ограничений, накладываемых косвенными наблюдениями и данными о структуре Вселенной, а также может объяснить некоторые расхождения в малых масштабах. Возможно ли, что подобные нейтринофильные взаимодействия темной материи являются ключом к разрешению проблем современной космологии?
За гранью Стандартной Модели: Головоломка Легкой Темной Материи
Современные космологические модели неразрывно связаны с существованием тёмной материи, однако её природа остаётся одной из самых больших загадок науки. Несмотря на многочисленные теоретические построения и экспериментальные поиски, ни один кандидат на роль тёмной материи не подтвердился. Существующие модели сталкиваются со всё более строгими ограничениями, накладываемыми наблюдениями за космическим микроволновым фоном, крупномасштабной структурой Вселенной и результатами прямых и косвенных экспериментов по поиску частиц. Это заставляет учёных пересматривать существующие подходы и разрабатывать новые, более сложные теории, способные объяснить наблюдаемое количество тёмной материи и её взаимодействие с обычной материей. Поиск тёмной материи остается одной из приоритетных задач современной физики, требующей междисциплинарного подхода и инновационных экспериментальных методов.
Кандидаты на роль темной материи с малой массой, ниже одного гигаэлектронвольта (GeV), представляют собой особую проблему для современных методов обнаружения и существующих теоретических моделей. Традиционные стратегии поиска, основанные на регистрации продуктов аннигиляции или распада массивных частиц темной материи, становятся неэффективными при столь низких энергиях. Это требует разработки принципиально новых подходов, чувствительных к слабым взаимодействиям легких частиц, а также пересмотра стандартных космологических моделей для объяснения наблюдаемой плотности темной материи, учитывая ограниченные возможности ее прямого обнаружения. m_{\chi} < 1 \text{ GeV} — это порог, за которым необходимо искать альтернативные механизмы взаимодействия и разрабатывать инновационные детекторы.
Для объяснения наблюдаемого количества темной материи требуется выход за рамки Стандартной модели физики элементарных частиц, что подразумевает поиск новых парадигм взаимодействия. Существующие теории не способны адекватно описать наблюдаемое обилие, поскольку предполагаемые взаимодействия с обычным веществом слишком слабы или вовсе отсутствуют. Исследования направлены на построение моделей, включающих новые частицы и силы, такие как аксионы, стерильные нейтрино или темные фотоны, способные взаимодействовать с барионной материей посредством ранее неизвестных механизмов. Эти модели часто предполагают существование новых типов взаимодействий, отличных от электромагнитного, слабого и сильного, что открывает возможности для разработки инновационных стратегий обнаружения, основанных на поиске продуктов распада или аннигиляции темной материи, а также на изучении её влияния на гравитационные явления и структуру Вселенной. Разработка и проверка таких моделей представляют собой сложную задачу, требующую объединения усилий теоретиков и экспериментаторов.

Модель U(1)B-L+xY: Новый Подход к Разгадке Темной Материи
Модель U(1)B-L+xY представляет собой расширение Стандартной модели физики элементарных частиц, вводящее дополнительную абелеву калибровочную симметрию. Эта симметрия предполагает существование новых взаимодействий, которые могут опосредовать связь между видимым сектором (состоящим из известных частиц) и темным сектором, состоящим из частиц темной материи. Введение дополнительной калибровочной группы позволяет объяснить природу темной материи, предсказывая существование новых частиц, взаимодействующих с частицами Стандартной модели посредством обмена калибровочными бозонами, связанными с этой новой симметрией. Данный подход позволяет построить модели, совместимые с наблюдаемыми космологическими данными и экспериментальными ограничениями на параметры темной материи.
В модели U(1)B-L+xY ключевым элементом является бозон Z’ — калибровочное поле, связанное с дополнительной абелевой симметрией. Этот бозон выступает в роли портала, обеспечивая взаимодействие между видимым сектором, состоящим из известных частиц Стандартной модели, и темным сектором, включающим частицы темной материи. Взаимодействие происходит за счет переноса импульса посредством Z’, что позволяет частицам из обоих секторов обмениваться информацией и энергией. Интенсивность взаимодействия определяется константой связи Z’ с частицами видимого и темного секторов, а масса Z’ является важным параметром, влияющим на феноменологию темной материи и ограничения, полученные из космологических наблюдений.
Введение кинетического смешения в модель U(1)B-L+xY значительно расширяет её феноменологические возможности, позволяя модифицировать взаимодействие между частицами видимого и тёмного секторов. Кинетическое смешение возникает, когда новые калибровочные бозоны Z' смешиваются с фотоном, что приводит к эффективному взаимодействию тёмной материи с обычным веществом через фотонные медиаторы. Величина кинетического смешения, определяемая параметром ε, влияет на сечения рассеяния тёмной материи и, следовательно, на её обнаружимость в прямых и косвенных экспериментах, а также на космологические ограничения на массу и сечение взаимодействия частиц тёмной материи.
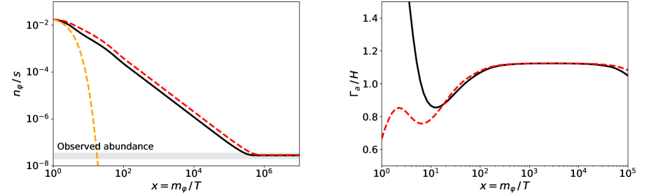
Модель U(1)B-L+xY предоставляет теоретическую основу для объяснения существования темной материи с низкой массой, при этом удовлетворяя существующим космологическим ограничениям. Анализ космологических данных, включающих измерения реликтового излучения и структуры крупномасштабной Вселенной, указывает на возможность существования слабо взаимодействующих массивных частиц (WIMP) в диапазоне масс от 5.8 до 8.3 МэВ. Данный диапазон обусловлен необходимостью подавления избыточной плотности темной материи, предсказываемой более простыми моделями, и согласуется с наблюдаемым значением плотности темной материи во Вселенной. Предполагается, что механизм взаимодействия, опосредованный новым Z’-бозоном, позволяет темной материи избегать существенных ограничений, накладываемых прямыми и косвенными экспериментами по поиску темной материи.

Нейтринофильные WIMP: Самосогласованная Темная Материя, Разгадывающая Космические Загадки
Существование нейтринофильных WIMP-частиц темной материи, взаимодействующих преимущественно с нейтрино, обусловлено гипотетическим Z’-бозоном. В отличие от стандартных WIMP, которые подвержены жестким ограничениям, основанным на взаимодействии с заряженными лептонами, взаимодействие нейтринофильных WIMP с обычным веществом происходит опосредованно, через Z’-бозон. Это позволяет избежать существующих ограничений, накладываемых экспериментами по прямому детектированию темной материи, которые ориентированы на поиск взаимодействий с электронами и ядрами. Эффективность этого механизма обусловлена специфическими свойствами Z’-бозона, включая его массу и силу связи с нейтрино и темной материей.
Тепловой механизм вырождения (thermal freezeout) представляет собой стандартную парадигму производства темной материи в ранней Вселенной. В рамках этой модели, концентрация частиц темной материи уменьшается по мере охлаждения Вселенной, пока не достигается равновесие между процессами рождения и аннигиляции. Для нейтринофильных WIMP, взаимодействующих преимущественно с нейтрино, расчеты показывают, что тепловое вырождение эффективно воспроизводит наблюдаемую плотность темной материи, при условии определенных значений массы WIMP и сечения взаимодействия с нейтрино. Этот механизм предполагает, что в ранней Вселенной существовало достаточное количество нейтринофильных WIMP для достижения равновесия, после чего их концентрация уменьшилась до текущего уровня в результате расширения Вселенной и уменьшения температуры. Соответствие между теоретическими предсказаниями и наблюдаемой плотностью темной материи подтверждает эффективность теплового вырождения как механизма производства нейтринофильных WIMP.
Модели, предсказывающие нейтральные частицы, взаимодействующие преимущественно с нейтрино, естественным образом приводят к самовзаимодействующей темной материи. Эффективное сечение самовзаимодействия \sigma/m \approx 0.1 - 1 \text{ cm}^2/\text{kg} возникает вследствие обмена частицами-посредниками, что позволяет смягчить проблемы, наблюдаемые в малых масштабах структуры Вселенной, такие как избыток карликовых галактик и более плотные гало вокруг них. Данный диапазон сечений соответствует решениям, предлагаемым для устранения расхождений между численными симуляциями и астрономическими наблюдениями, демонстрируя совместимость модели с текущими данными.
Перспективы Обнаружения и Будущее Темной Материи
Нейтринофильная природа данного кандидата в темную материю открывает принципиально новые возможности для прямых экспериментов по ее обнаружению. В отличие от традиционных подходов, ориентированных на взаимодействие с ядрами, акцент смещается на материалы, оптимизированные для взаимодействия с нейтрино. Это предполагает использование инновационных мишеней, способных эффективно поглощать или рассеивать нейтрино, генерируемые в результате аннигиляции или распада частиц темной материи. Разработка таких мишеней требует тщательного подбора материалов с высоким сечением взаимодействия с нейтрино и низким фоновым уровнем, что представляет собой серьезную технологическую задачу. Успешная реализация этого подхода позволит значительно повысить чувствительность детекторов и, возможно, впервые зафиксировать прямое проявление темной материи.
Косвенные методы поиска, направленные на обнаружение продуктов аннигиляции или распада темной материи, представляют собой важную альтернативу прямым экспериментам. Данный подход основан на регистрации потоков нейтрино или гамма—квантов, возникающих в результате взаимодействия частиц темной материи. Особенно перспективным представляется поиск избытка нейтрино высоких энергий, которые могут служить явным сигналом аннигиляции. Кроме того, изучение спектра гамма-излучения позволяет оценить вклад темной материи в наблюдаемые астрофизические процессы и ограничить параметры модели. Такой комбинированный подход, использующий данные различных экспериментов и теоретических моделей, значительно расширяет возможности поиска и характеристики частиц темной материи.
Дальнейшее уточнение космологических ограничений, в сочетании с развитием экспериментальных методов, представляется критически важным для окончательного подтверждения существования и определения свойств данного кандидата в легкую темную материю, с прогнозируемой массой в диапазоне от 5.8 до 8.3 МэВ. Совершенствование точности измерений реликтового излучения и структуры крупномасштабной Вселенной позволит сузить область возможных параметров, а разработка новых детекторов, способных к регистрации событий с низкой энергией, откроет возможности для прямого обнаружения частиц темной материи. Особенно перспективным представляется комбинированный подход, использующий данные различных экспериментов и теоретических моделей, что позволит исключить альтернативные объяснения наблюдаемых явлений и установить природу этой загадочной составляющей Вселенной.
Исследование, представленное в статье, демонстрирует изящную попытку согласовать теоретические модели темной материи с наблюдаемыми данными. Авторы предлагают элегантное решение, рассматривая нейтральную слабо взаимодействующую массивную частицу (WIMP) в расширенной модели U(1)B-L+xY, что позволяет учесть как реликвию изначального обилия, так и потенциальные эффекты самовзаимодействия. Этот подход, направленный на решение проблем, возникающих в моделировании мелких структур Вселенной, находит глубокий отклик в словах Ханны Арендт: «Политика рождается там, где люди объединяются, чтобы действовать сообща». Аналогично, данная работа представляет собой объединение теоретических построений и наблюдательных ограничений для достижения более полного понимания фундаментальной природы темной материи. Последовательность в построении модели, с учетом всех известных факторов, является формой эмпатии к будущим исследователям, стремящимся к более глубокому пониманию Вселенной.
Куда Далее?
Предложенная модель, элегантная в своей простоте, не решает, а лишь откладывает некоторые фундаментальные вопросы. Рассматриемый кандидат в темную материю, несмотря на свою способность объяснить наблюдаемую реликвию и потенциально смягчить проблемы малых масштабов, всё же остается лишь одним из множества возможных решений. Истинная красота, как известно, заключается не в устранении симптомов, а в выявлении и лечении первопричины. Необходимо пристальное внимание к феноменологии взаимодействия этой частицы с обычным барионным веществом — иначе, как понять, почему Вселенная оказалась именно такой, какой мы ее наблюдаем?
Дальнейшие исследования должны быть направлены на более точное определение параметров модели, способных согласоваться с данными о космическом микроволновом фоне и крупномасштабной структуре Вселенной. Особый интерес представляет поиск косвенных признаков существования этой частицы — например, через аномалии в космических лучах или гравитационных волнах. Впрочем, следует помнить, что любое обнаружение лишь подтвердит работоспособность этой модели, но не исключит существование других, возможно, более изящных решений.
В конечном итоге, поиск темной материи — это не только научная, но и философская задача. Попытка понять природу этого таинственного вещества заставляет задуматься о фундаментальных принципах, лежащих в основе нашего понимания Вселенной. И, возможно, истинное открытие будет заключаться не в обнаружении новой частицы, а в пересмотре наших самых базовых представлений о реальности.
Оригинал статьи: https://arxiv.org/pdf/2601.09310.pdf
Связаться с автором: https://www.linkedin.com/in/avetisyan/
Смотрите также:
- Тёмная энергия и нейтрино: Путешествие по истории расширения Вселенной
- Тёмная материя под микроскопом: новые данные указывают на волновой характер
- Рождение нейтронной звезды: новые связи в гравитации ЭМСГ
- Малыши-Красные Точки и Рождение Сверхмассивных Черных Дыр
- Гигантские гравитоны: новый взгляд на сильные взаимодействия
- Тёмная сторона Вселенной: новые горизонты гравитационных волн
- Альтернатива Тёмной Материи: Гравитация Бранса-Дике и Эволюция Вселенной
- Тень чёрной дыры: как масса поля влияет на её колебания
- Гравитационное линзирование: новый взгляд на эволюцию Вселенной
- Радиоастрономия на новом уровне: поиск темной энергии с помощью гигантских телескопов
2026-01-15 17:33